Legal Documents
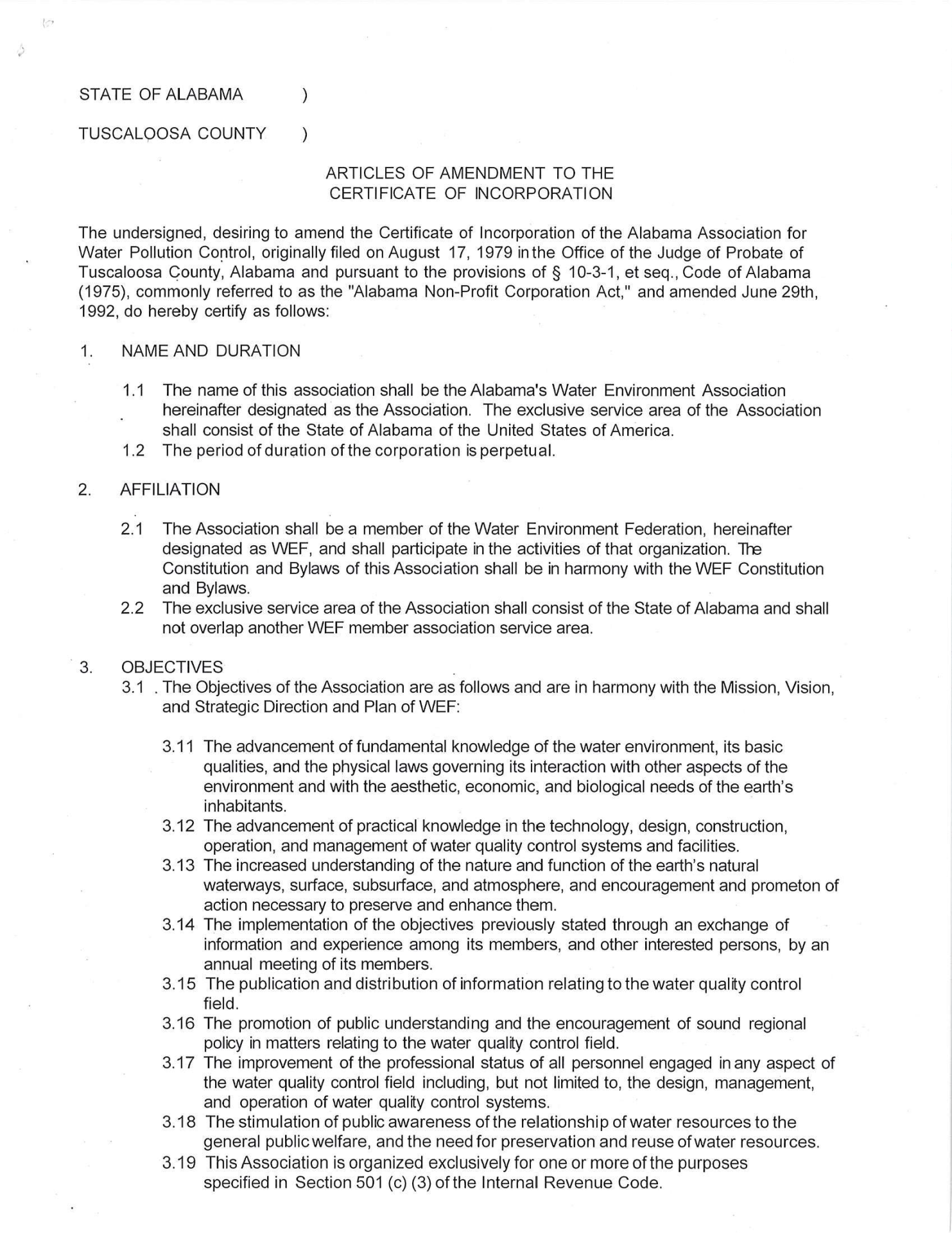
AWEA was proudly incorporated on August 17, 1979 under the name of the Alabama Association of Water Polution Control.
The Articles of Incorporation were amended on June 29th, 1992 and again on April 11th, 2018
when the name was officially changed to
Alabama's Water Envronment Association (AWEA).
We continue to follow, honor, and stay aligned with the goals and purposes outlined here.

